September 29, 2024
ISAC has been conceptualized, designed, and optimized for making communication and sensing functions complementary to each other. The different goals bring the inherent trade-off between communication and sensing performance when integrating them together.
The ISAC system can be formulated by
\[\mathbf{Y}=\mathbf{H}\mathbf{X}+\mathbf{N},\]
where \(\mathbf{Y}\) is the received signal, \(\mathbf{X}\) is the transmitted signal, \(\mathbf{H}\) is the channel status, and \(\mathbf{N}\) is the noise that might be introduced by sensed objects.
Intuitively, the system sensing capability can be evaluated by analyzing how the received signals reflect the channel status, such as sensing mutual information \(I(\mathbf{H};\mathbf{Y})\).
The relationship between the sensing capability of such features and the signal itself is ambiguous.
The sensing capability analysis must be designed to operate for all possible types.
In this paper, we propose a general sensing channel encoder model to help determine the sensing capability – the upper bound and lower bound of error in restoring the sensed object from given wireless signal features.
A typical sensing process often comprises several components: the target status to be sensed (\(W\)), the feature (\(X^n\)) designed to sense the status, the sensing channel embedding (\(Y^n\)) obtained through the sensing system, and the result (\(\hat{W}\)) derived after processing the signal.
DTMI
The discrete task mutual information (DTMI) is defined as the mutual information between the feature \(X^n\) and the channel embedding \(Y^n\), i.e., \(I(X^n;Y^n)\).
Conditional error probability
The conditional error probability \(\xi _i\) when the target status is \(w_i\) is defined as: \[ \xi _i = \Pr(\hat{W}\neq w_i|W=w_i). \label{eq:lambda_i} \]
Expected value of the error
The expected value of the error, denoted as \(P_E^{n}\), is articulated as follows: \[ P_E^{n} = \sum_{i=1}^{m} p(w_i)\xi _i. \label{eq:error} \]
Lower bound
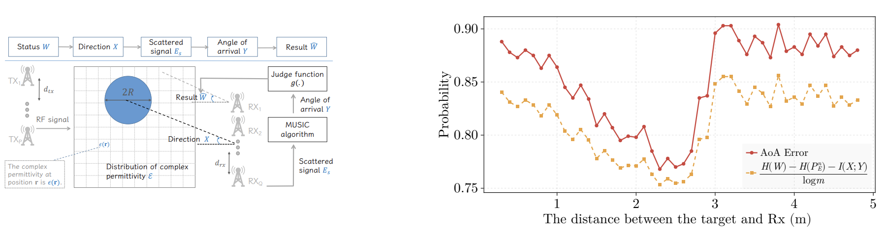
For a sensing task \(W\) with \(m\) statuses, we use \(n\) independent features to describe the status of the target. The expected value of the error \(P_E^{n}\) satisfies the following lower bound: \[ P_E^{n}+ \frac{H(P_E^n)}{\log m}\geq \frac{H(W)-I(X^n;Y^n)}{\log m}, \label{eq:lowbound} \] where \(H(P_E^n)=-P_E^n \log P_E^n - (1-P_E^n)\log(1-P_E^n)\).
Up bound
For a sensing task with \(m\) statuss, we use \(n\) independent features to describe the status of the target. For sufficiently large \(n\), the expected value of the error \(P_E^{n}\) satisfies the following upper bound: \[ P_E^{n}\leq \varepsilon + \sum_{k=1}^m p(w_k) \sum_{j\neq k}^m 2^{3n\varepsilon-\sum_{i=1}^n I(X_i(w_j);Y_i(w_k))} \label{eq:upbound} \]
Previous excellent sensing systems have summarized many valuable experiences, such as multi-modal systems tend to achieve better sensing performance. However, these experiences currently lack theoretical explainability. In this section, we employ sensing channel encoder model and DTMI as tools to attempt to explain some classic phenomena.
Many previous research works have shown that using multi-modality for sensing helps achieve better performance, which can be explained by the theorem we proved previously.
In this paper, we propose DTMI which can reflect the performance of sensing features to a certain extent. Specifically, we consider two features \(X\) and \(X'\). After passing through the sensing channel, their corresponding channel embeddings are \(Y\) and \(Y'\), respectively. According to Important 1 and Important 2, both the upper and lower bounds of the expected error are related to the DTMI. If the DTMI \(I(X;Y)>I(X';Y')\), the upper and lower bounds of the expected value of the error \(P_E\) will be reduced, which means that it is easier to achieve good performance using \(X\) as sensing features.
This necessitates alternative approaches, beyond experimental validation, to assess the performance of designed sensing features.
If the following equation holds, \[ H(W)-I(X^n;D^l) > 1, \] lossless sensing cannot be achieved simply by improving the effect of data preprocessing.


Given the cost-effectiveness and ease of deployment of RFID tags, we have developed an algorithm for monitoring cabinet door status using multiple tags. Furthermore, we employ the mutual information of tasks, as proposed in this paper, to assess the system’s performance.